Skip to content
  • (250) 893-6618
  • Connect
    • Email
    • X
    • Facebook
    • LinkedIn
Todd headshot
Todd Mahovlich logo
Skip to content
  • Home
  • About
    • About
    • Testimonials
  • Featured Listings
    • Featured Listings
    • Past Sales
    • Office Listings
  • Property Search
    • Saanich Peninsula
    • West Shore
    • Oak Bay
    • Saanich
    • Esquimalt
    • View Royal
    • Custom Search
  • Resources
    • Buyer’s Guide
    • Seller’s Guide
    • Mortgage Calculator
    • Home Evaluation
  • VRES Project Sales Current and Completed
Todd Mahovlich logo

- VICTORIA REAL ESTATE SOLUTIONS -

Todd Mahovlich Victoria Real Estate Solutions
Sold

8396 Sa-Seen-Os Road

Youbou – Youbou, BC

23
  • 8396 Sa-Seen-Os Road
  • $1,000,500
1 of 23
This listing is provided by Royal Lepage Coast Capital - Chatterton and Re/Max Camosun
  • Details

  • Sold Price $1,000,500
  • MLS® # 854147
  • Date Sold October 2020
  • Lot 47,480 sqft lot
  • Taxes $4,438
  • Tax Year 2019
  • Features Dock/Moorage, Private, Walk on Waterfront
  • Address 8396 Sa-Seen-Os Road, Youbou, BC, V0R 3E1

About

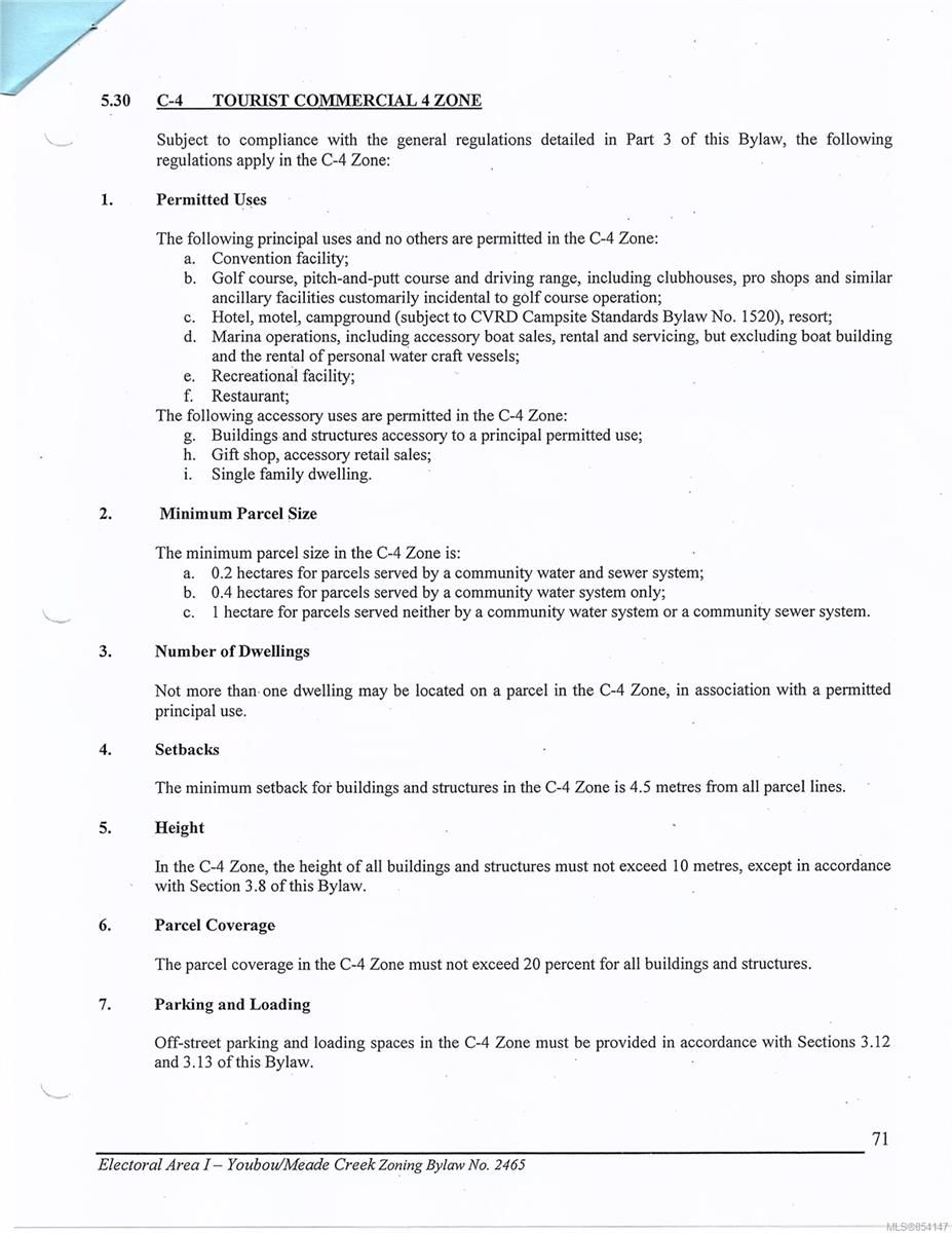
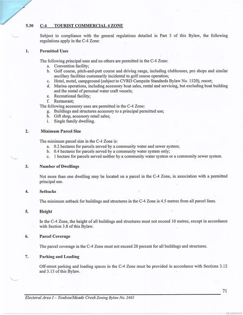
Low bank walk on lakefront on Sa-Seen-os Point, South Westerly exposure in the quinate little town of Youbou. One of the very few properties on the lake with C-4 zoning which would allow for numerous different opportunities just ask for the zoning details. CVRD has suggested multiple cottages and or trailer pads could be a possibility, contact CVRD to confirm. An old dock that could potentially be turned into a much larger dock and even a marina. If you are looking for a fun project here it is, Lake Cowichan low bank waterfront if very difficult to acquire right now and has been for a number of years. Please do not go on the property without an appointment, Land value only.

Contact

Victoria Real Estate Solutions
  • A featured listing of
    Victoria Real Estate Solutions
  • My Office Royal LePage Coast Capital Realty
  • Mobile (250) 893-6618
  • Email todd@vres.ca

Community

Mortgage calculator

Royal LePage Coast Capital Realty — 110-4460 Chatterton Way Victoria, BC V8X 5J2 — (250) 477-5353
© 2026 Victoria Real Estate Solutions
Home / 854147
Property information is provided under copyright by VIVA. The information is from sources deemed reliable, but should not be relied upon without independent verification. No warranties or representations are made of any kind. The website may only be used by consumers for the purpose of locating and purchasing real estate. Listing data last updated 2026-02-09T10:01:15Z.
Powered by Avenue
The growth engine for driven real estate professionals.